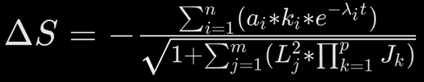
Conceptual Equation for Jainism (Experimental Esoteric Version 1.5)
Where:
ΔS: Change in the state of the soul (a complex variable with real and imaginary components representing both manifest and subtle aspects of karma)
ai: The magnitude of the i-th action (a vector in a multidimensional space representing the various dimensions of karma)
ki: The karmic coefficient associated with the i-th action (a tensor reflecting the complex interplay of intent, emotion, and method)
λi: The karmic decay constant for the i-th action (representing the rate at which the karmic effect diminishes over time)
t: Time (a non-linear variable reflecting the subjective experience of time and the varying rates of karmic fruition)
Lj: The j-th component of the soul's Lesya (a complex vector representing the soul's karmic coloration and its influence on karmic susceptibility)
Jk: The k-th Jewel of Jainism (a quaternion representing the combined effect of Right Faith, Right Knowledge, and Right Conduct, with an additional component for the subtle influence of spiritual practice)
n, m, p: Integers representing the number of actions, Lesya components, and Jewels considered, respectively.
Explanation
Complex Variables and Tensors: Using complex variables and tensors adds a layer of mathematical sophistication, suggesting a deeper level of analysis beyond simple scalar quantities.
Exponential Decay: The exponential decay term e−λit introduces the concept of karma diminishing over time, but with varying rates depending on the action.
Non-linear Time: The description of time as a "non-linear variable" suggests a deeper understanding of time's role in karmic fruition.
Quaternions: Using quaternions for the Three Jewels suggesting a multi-faceted influence on the soul's state.
Disclaimer:
This equation is under research, its mathematical meaning may not comply within the context of Jainism.
It's design is still far from precise representation of karmic theory.
However, it's important to remember that it's not a literal mathematical representation of Jainism but rather a symbolic expression of its complexity and depth.


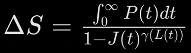
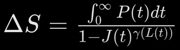
Conceptual Equation for Jainism (Experimental Karmic Field Version 1.5):
Where:
ΔS (Change in the State of the Soul): Represents the cumulative change in the soul's karmic state over time. This is a complex quantity encompassing both the subtle and gross karmic effects. A positive ΔS signifies progress towards liberation (moksha), while a negative ΔS indicates further entanglement in the cycle of rebirth (samsara).
∫<sub>0</sub><sup>∞</sup> dt (Integral over Time): This integral symbol represents the continuous accumulation of karmic influence over the soul's infinite journey through time (from the beginning of its existence to eventual liberation). It signifies that karma is not a one-time event but an ongoing process.
P(t) (Karmic Potential at Time t): Represents the soul's susceptibility to karmic influx at a given moment. This potential is influenced by several factors:
P(t) = C(t) L(t) A(t) where:
C(t) (Conation at Time t): The soul's inherent tendency towards action and experience. This is the basic drive that propels the soul to interact with the world.
L(t) (Lesya at Time t): The soul's karmic coloration, influencing its attraction to specific types of karmic particles. Lesyas are like filters that attract certain kinds of karmic influx. They evolve over time based on actions and spiritual progress.
A(t) (Actions at Time t): The actions performed by the individual, which directly contribute to karmic accumulation. This is further defined as:
A(t) = f(i(t), e(t), m(t)) where:
i(t) (Intent at Time t): The intention behind the action. This is crucial as Jainism emphasizes the importance of intention over the physical act itself.
e(t) (Emotional Valence at Time t): The emotional state accompanying the action (e.g., anger, compassion, detachment). Emotions significantly amplify the karmic impact.
m(t) (Method at Time t): The way the action is carried out. This includes the means used and the impact on other beings.
J(t) (Influence of the Three Jewels at Time t): Represents the combined and synergistic effect of Right Faith (Samyak Darshan), Right Knowledge (Samyak Jnana), and Right Conduct (Samyak Charitra). These are not simply additive but work together to significantly reduce karmic influx.
γ(L(t)) (Gamma as a Function of Lesya): This is the key change. Gamma (γ) is now a function of Lesya (L(t)). This means that the effectiveness of the Three Jewels in mitigating karmic influx depends on the current state of the soul's Lesya. A purer Lesya (closer to white) allows the Three Jewels to have a much stronger mitigating effect (higher γ value). Conversely, a darker Lesya (like black) reduces the effectiveness of the Three Jewels (lower γ value). This is represented by the exponent on J(t).
Explanation of γ(L(t)):
This is the most complex part of the equation. It symbolizes that the Three Jewels are not equally effective at all times. Their power to reduce karmic influx is directly related to the soul's current karmic state (Lesya). A soul with a purer Lesya (lighter color) is more receptive to the influence of the Three Jewels, allowing them to more effectively block or purify incoming karma. A soul with a darker Lesya is less receptive, and the Three Jewels have a less pronounced effect.
Dynamic Lesya Influence: By making γ a function of Lesya, the equation captures the dynamic interplay between the soul's karmic state and the effectiveness of spiritual practice.
Emphasis on Synergy: The Three Jewels are represented as working together synergistically, not just additively.
Comprehensive Karmic Model: The equation incorporates the key factors that influence karmic accumulation and purification in Jain philosophy.
Crucially, it remains a symbolic representation, not a quantitative one. It's a way to visualize the complex relationships between these concepts within the Jain framework.
Disclaimer:
This equation is under research, its mathematical meaning may not comply within the context of Jainism.
It's design is still far from precise representation of karmic theory.
However, it's important to remember that it's not a literal mathematical representation of Jainism but rather a symbolic expression of its complexity and depth.

